Mnohé optické měřicí metody vyžadují pro svou funkci kvalitní zdroje záření. Důležitým parametrem kvality zdroje záření pro interferometrii, holografii, ale i pro jiné optické měřicí metody je koherence záření. Za koherentní zdroje lze považovat takové, jejichž frekvence záření je stále stejná a rozdíl fází vyzařovaných paprsků se nemění. V literatuře se uvádí tzv. komplexní stupeň koherence, který zahrnuje koherenci časovou a koherenci prostorovou. Zlepšení koherenčních vlastností lze dosáhnout zvýšením monochromatičnosti a ohraničením velikosti zářící plochy zdroje. Monochromatičnost záření ovlivňuje koherenci časovou a velikost zářící plochy zdroje ovlivňuje koherenci prostorovou.
Časová koherence
Koherentní zdroj záření by měl v každém okamžiku a z celého povrchu vyzařovat monochromatické záření. Je-li generováno záření s konečnou šířkou spektrální čáry, jehož vlnová délka leží v intervalu l + Dl, bude docházet při interferenci paprsků o vlnové délce l s paprsky o vlnové délce l + Dl k záznějům ve směru šíření záření, viz obr. 2-6. Vzdálenost záznějů můžeme označit jako koherenční délku L, která vyjadřuje schopnost zdroje generovat stacionární záření se stálou fází ve sledovaném bodě, a která je dána vztahem
|
|
(2-6) |
V rovnici (2-6) představuje c rychlost šíření záření a Df je změna frekvence zdroje vyzařujícího v intervalu vlnových délek l + Dl.

Obr. 2-6 Schéma k výkladu časové koherence – zdroj vyzařující záření o vlnové délce v intervalu l + Dl
Při aplikaci zdroje záření s konečnou koherenční délkou je třeba mít na zřeteli, že kvalitní interferenci lze získat pouze superpozicí takových paprsků, jejichž optické dráhy (měřeno od zdroje záření) se příliš od sebe neliší a jejich rozdíl by měl být podstatně menší než koherenční délka L. Pro trojrozměrný holografický záznam objektů z toho plyne, že maximální hloubka objektu (ve směru osvětlení objektu) by měla být podstatně menší než koherenční délka L. Velké hodnoty koherenčních délek lze dosáhnout především u laserů. Výrobci laserů jsou např. firmy Jenoptik, Lasos, Melles Griot, Spectra Physics (viz také dodavatelské firmy LAO Praha,MIT Praha). Např. firma Metra Blansko dodávala na trh He – Ne lasery LA 1001, o výkonu 60 mW a délce 2,3 m, které jsou vhodné pro interferometrii a holografii a mají koherenční délku okolo 1 m. Naproti tomu He – Ne lasery firmy Spectra Physics, které jsou kratší a mají výkony pouze do 35 mW, mají koherenční délku jen 0,25 m.
Pozn.: Jednofrekvenční lasery pracující na základním příčném modu TEMoo a jediném podélném modu mohou dosahovat koherenční délku až 60 km či více.
Prostorová koherence
Prostorovou koherenci lze vyjádřit pomocí tzv. koherenční šířky. Koherenční šířka je vzdálenost R na stínítku (viz obr 2-7) mezi osou svazku a místem, ve kterém dostaneme při interferenci paprsků šířících se od okraje monochromatického plošného zdroje minimum intenzity (optická dráha těchto paprsků se liší o l / 2). Koherenční šířka je především funkcí příčné velikosti zdroje 2 r, vlnové délky l a mění se se vzdáleností stínítka od zdroje a. Platí vztah
|
|
(2-7) |
Jelikož bývá velikost zdroje 2r podstatně menší než vzdálenost stínítka od zdroje a, lze daný vztah zjednodušit a dostaneme
|
|
(2-8) |
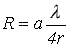
Po úpravách lze vyjádřit koherenční šířku R ve tvaru
|
|
(2-9) |

Obr. 2-7 Schéma k výkladu prostorové koherence - zdroj konečné velikosti
Z uvedeného rozboru je zřejmé, že při aplikaci zdroje záření s reálnou velikostí 2r lze osvětlovat ve vzdálenosti a od zdroje pouze objekty, které mají rozměr příčný k ose záření podstatně menší než 2R, jinak se začne projevovat interference paprsků šířících se od okraje monochromatického zdroje, která může ovlivnit interferenci s případným dalším svazkem. Velké hodnoty koherenční šířky je možné dosáhnout především u laserů, kde velikost zdroje 2r je oproti jiným zdrojům záření zanedbatelná, a proto lze lasery považovat prakticky za bodové zdroje záření.