Mezi svazky koherentního elektromagnetického záření dochází v oblasti překrytí k interferenci. Interferenci si lze představit jako zázněje intenzity mezi svazky vlnového charakteru. Zázněje tvoří interferenční plochy střídavě s maximální a minimální intenzitou.

Obr. 2-18 Interference dvou rovinných vln
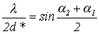
Při interferenci rovinných vln u1, u2 o vlnové délce l, které dopadají na desku D pod úhly a1, a2 (viz obr. 2-18), dochází v oblasti překrytí svazků ke vzniku interferenčních rovin. Tyto jsou v obrázku vyznačeny svislými silnými čarami. Pro vzdálenost rovin d* platí vztah
|
|
(2-23) |
Rozteč interferenčních proužků d na desce D je možné získat ze vztahu
|
|
(2-24) |
Dosazením rovnice (2-23) do rovnice (2-24) obdržíme výsledný vztah pro určení rozteče d
|
|
(2-25) |
Pozn.: Průběh intenzity napříč proužky má při interferenci rovinných vln sinusový charakter. Je-li deska D opatřena fotografickou emulzí, nebo představuje-li snímač citlivý na dané záření, lze interferenci zaznamenat. Pro záznam je nutné, aby rozlišovací schopnost desky byla pro uvedenou rozteč proužků dostatečná.