Histogram slouží k hodnocení rozložení intenzit v digitálním obraze. Z grafické podoby histogramu lze usuzovat nejen na stav digitálního obrazu, ale také na možnosti úpravy obrazu. V této kapitole se zaměříme především na černobílé obrazy s konečným možným počtem úrovní intenzit.
Histogram je grafické znázornění vektoru s počtem složek rovným počtu možných úrovní intenzit obrazových bodů. Tento vektor je označen písmenem H a hodnota každé složky vektoru odpovídá četnosti bodů příslušné intenzity v obraze. Typický tvar histogramu digitálního obrazu, který nevyužívá všechny dostupné úrovně intenzit, je uveden na obr. 15-14. Z histogramu je zřejmé, že v obraze schází zejména hodnoty intenzit na okrajích intervalu <0,1>, což obvykle snižuje kvalitu obrazu.

Obr. 15-14 Histogram obrazu před ekvalizací, který nevyužívá všechny úrovně intenzit
Ekvalizace histogramu je algoritmus, který změní rozložení intenzit v obraze tak, aby se v něm vyskytovaly pokud možno intenzity v širokém rozmezí, a to přibližně se stejnou četností. U obrazů s konečným počtem obrazových bodů se lze tomuto cíli jen přiblížit, viz obr. 15-15. Ekvalizace umožňuje v obraze s celkově vysokým kontrastem zvýraznit špatně rozpoznatelné detaily s nízkým kontrastem. Pokud po aplikaci ekvalizace nejsou v histogramu zastoupeny některé intenzity uprostřed spektra intenzit a kvalitní obraz tyto intenzity vyžaduje (např. interferogram), pak je vhodné použít filtr typu dolní propust, viz kap. 15.6.

Obr. 15-15 Histogram obrazu po ekvalizaci
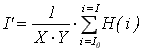
Výsledná intenzita obrazového bodu po ekvalizaci I' se vypočítá z původní intenzity obrazového bodu I, a to pomocí vztahu
|
(15-15) |
kde H(i) je i-tá složka vektoru histogramu (počet bodů v obraze se stejnou intenzitou), X, Y jsou rozměry obrazu a I0 je nejnižší intenzita původního obrazu.
Funkci zobrazení histogramu můžeme s výhodou použít také před aplikací algoritmu prahování, viz kap. 15.4. Histogram nám může v této souvislosti usnadnit volbu vhodného prahu P, tak jak je to uvedeno na obr. 15-16.

Obr. 15-16 Využití histogramu pro volbu optimálního prahu P pro prahování
Podrobnější rozbor problematiky histogramu a ekvalizace histogramu lze nalézt v lit. [4-5], [4-7], [4-8] a další.