Fourierova transformace je modifikací Fourierovy řady a je užitečná pro řešení mnoha různých problémů. Používá se např. pro převedení řešení diferenciálních rovnic na řešení algebraických rovnic nebo pro frekvenční analýzu časově proměnných signálů. V oblasti zpracování obrazů je možné Fourierovu transformaci uplatnit pro úpravy kvality obrazů, ale také pro vyhodnocování prostorových frekvencí, což lze s výhodou použít pro vyhodnocování interferenčních řádů v obrazech interferogramů.
Dvojrozměrná Fourierova transformace umožní převést rozložení obrazových intenzit I(x, y) vyhodnocovaného obrazu na obraz prostorových frekvencí F(fx, fy). Definicí dvojrozměrné Fourierovy transformace je vztah
|
(16-3) |
Při počítačovém zpracování digitalizovaných obrazů se ale používá tzv. diskrétní dvojrozměrná Fourierova transformace [4-8]. Výsledkem této transformace je pak obraz četností všech prostorových frekvencí ve vyhodnocovaném obraze, a to v souřadném systému fx, fy. Fourierova transformace je vhodná především pro vyhodnocování tvarově složitých interferogramů získaných při seřízení interferometru na konečnou šířku interferenčních proužků, kde můžeme obvykle lépe rozlišit, zda interferenční řád roste či klesá, viz obr. 16-9.

Obr. 16-9 Interferogram neizotermního vzduchového proudu z vyústky obtékajícího překážku
Z obrazu četností frekvencí lze vyvozovat různé závěry o prostorových frekvencích ve vyhodnocovaném obraze. Při vyhodnocování interferogramů nás obvykle zajímají složky nejnižší prostorové frekvence. Některé postupy zpracování vizualizačních experimentů však provádějí i různé úpravy obrazu četností frekvencí a pak aplikují zpětnou Fourierovu transformaci [4-8], která umožní získat opět rozložení intenzit I(x, y) ve zkoumaném obraze, ale s upravenými prostorovými frekvencemi. Např. po odstranění vysokých prostorových frekvencí v obraze frekvencí umožní zpětná Fourierova transformace získat původní obraz intenzit bez zrnitosti. Ponecháme-li v obraze frekvencí jen určité oblasti frekvencí, můžeme po aplikaci zpětné Fourierovy transformace získat obraz se zvýrazněnými strukturami, např. v leteckém snímku města lze zvýraznit ulice vedoucí stejným směrem apod.
Při vyhodnocování obrazů interferogramů se obvykle zkoumaný obraz rozdělí na elementy, a to obdobně jako u metody PIV (viz obr. 3-16 v kap. 3.7). Po rozdělení obrazu na elementy můžeme pak v každém elementu určit pomocí Fourierovy transformace žádané složky nejnižší lokální prostorové frekvence fx(x, y) a fy(x, y), kde souřadnice x, y vyjadřují polohu středu elementu v obraze. Element zde musí představovat dostatečně malou část obrazu s dostatečným počtem obrazových bodů, které by měly zobrazit alespoň jeden interferenční proužek. Z toho je zřejmé, že daný způsob aplikace Fourierovy transformace je vhodný pro interferogramy, které mají v každém místě velkou hustotu interferenčních proužků (interferogram z obr. 16-9 tomuto požadavku nevyhovuje), což vyžaduje také obrazy s větším počtem obrazových bodů.
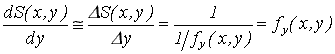
Lokální prostorové frekvence fx(x, y) a fy(x, y) interferenčních proužků, vyhodnocené v jednotlivých elementech obrazu, představují přímo lokální derivace interferenčních řádů v těchto elementech, a to ve směru x a ve směru y. Platí vztahy
|
(16-4) |
|
(16-5) |
Platnost těchto vztahů je zřejmá z obr. 16-10, který zobrazuje průběh interferenčního řádu ve směru x, přičemž body na křivce představují polohy buď světlých či tmavých interferenčních proužků a x1 je referenční místo s interferenčním řádem S(x, y) = 0.

Obr. 16-10 Rozložení interferenčního řádu v obraze ve směru x
Z lokálních prostorových frekvencí interferenčních proužků fx(x, y) a fy(x, y) lze integrací získat rozložení interferenčních řádů, a to zvlášť při postupu ve směru x a zvlášť ve směru y. Pro interferenční řády platí
|
(16-6) |
|
(16-7) |
kde x1, y1 jsou souřadnice referenčního místa se známým interferenčním řádem a x2, y2 jsou souřadnice vyhodnocovaného místa. Někdy mohou být pro vyhodnocování interferogramů užitečné přímo derivace dS(x,y)/dx, dS(x,y)/dy určené rovnicemi (16-4) a (16-5).
Pro úspěšnou aplikaci uvedeného postupu určování interferenčního řádu pomocí Fourierovy transformace je nutné mít k dispozici obrazy s velkou hustotou interferenčních proužků, s velkým počtem obrazových bodů, a tudíž i s velkým počtem obrazových elementů, aby bylo možné zmapovat a vyhodnotit i tvarově složité oblasti obrazu až k jejich okrajům.