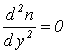
Kontury nebo také stíny na stínogramech vznikají proto, že původně rovnoměrné rozložení intenzity ve světelném svazku se po průchodu nehomogenním transparentním objektem díky zakřivení paprsků změní a na stínítko dopadají paprsky s různou hustotou. Kontury se šíří od míst, kde druhé derivace indexu lomu dle souřadnice jsou nulové, přičemž směr šíření kontur je dán prvou derivací indexu lomu dle souřadnice. Toto tvrzení lze dokázat experimentálně, viz kap. 11.2. Jiným důkazem může být numerické modelování svazku paprsků, které procházejí nehomogenním objektem a následné sledování četnosti paprsků dopadajících na stínítko, viz Dostál, Pavelek [6-12], nebo také by bylo možné dané tvrzení dokázat matematicky.
Příklad určení polohy kontur po průchodu paralelního svazku jednorozměrnou či dvojrozměrnou tepelnou mezní vrstvou u vyhřívaného povrchu při laminární konvekci si uvedeme v následujícím textu. Z polohy kontur získaných stínovou metodou lze následně vyhodnocovat různé další žádané parametry transparentního objektu. Při výzkumu tepelných mezních vrstev se obvykle jedná o určování derivací teplot u povrchu těles, ze kterých lze stanovit součinitel přestupu tepla či Nusseltovo číslo, nebo také o určování tlouštěk tepelných mezních vrstev.

Obr. 11-5 Průběh teplot a indexu lomu v tepelné mezní vrstvě v oblasti laminárního proudění
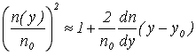
Považujeme-li vztah mezi teplotou T a indexem lomu tekutiny n v malém rozsahu teplot za lineární, pak v tepelné mezní vrstvě T = f(y) či ve vrstvě indexu lomu n = f(y) kolem teplosměnného povrchu (viz obr. 11-5) existují dvě místa vyhovující podmínce
|
(11-1) |
Prvým místem, od kterého vzniká kontura, je hranice tepelné mezní vrstvy y = d v okolí teplosměnného povrchu, kde teplota je prakticky rovna teplotě okolního prostředí Too. Jelikož na hranici mezní vrstvy je rovněž prvá derivace teploty či indexu lomu dle souřadnice y rovna nule, bude poloha prvé kontury y1 na stínítku (viz. obr. 11-1 v kap. 11.1) nezávislá na vzdálenosti stínítka Z od středu desky. Pro prvou konturu platí vztah
|
(11-2) |
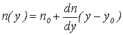
Druhým místem, od kterého vzniká kontura, je místo u povrchu y = 0, kde teplota je rovna teplotě povrchu Tw, viz obr. 11-5. Jelikož u teplosměnného povrchu je prvá derivace teploty či indexu lomu dle souřadnice y (dn/dy)w různá od nuly, bude poloha druhé kontury y2 na stínítku (viz. obr. 11-1 v kap. 11.1) závislá na vzdálenosti stínítka Z od středu desky. Polohu druhé kontury na stínítku lze vyjádřit použitím Snellova zákona, viz kap. 2.11
|
(11-3) |
kde n0 je index lomu v místě z = 0. Považujeme-li profil indexu lomu v blízkosti povrchu za přímkový (obdoba optického klínu)
|
(11-4) |
pak pravou stranu rovnice (11-3) lze nahradit výrazem
|
(11-5) |
V rovnici (11-4) a (11-5) značí y0 polohu paprsku v místě z = 0, viz také obr. 11-6.

Obr. 11-6 Schéma k odvození zakřivení světelných paprsků při průchodu tepelnou mezní vrstvou či vrstvou indexu lomu
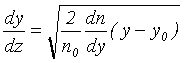
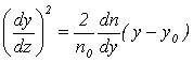
Dosazením rovnice (11-5) do Snellova zákona (11-3) dostaneme
|
(11-6) |
a po integraci
|
(11-7) |
|
(11-8) |
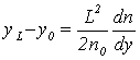
Vytknutím konstant v rovnici (11-8) před integrál a po zavedení z = L lze zjistit polohu paprsku yL – y0 vystupujícího z tepelné mezní vrstvy
|
(11-9) |
|
(11-10) |
Sklon paprsku v místě z = L určíme z rov. (11-7), přičemž také využijeme rovnici (11-10) a dostaneme
|
(11-11) |
Pro paprsek vstupující do tepelné mezní vrstvy u povrchu pak platí
|
(11-12) |
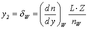
Poloha druhé kontury y2 na stínítku (viz. také obr. 11-1 v kap. 11.1) je tudíž dána vztahem
|
(11-13) |
Pozn.: Výše uvedené odvození neuvažuje okrajové efekty (teplotní pole obepíná celý objekt) a případné umístění průzorů před a za měřený objekt (používá se při experimentech s kapalinami a plyny s výjimkou vzduchu).