Pro jednosložkovou tekutinu či pro směs, která má ve sledovaném prostoru stejné složení, lze z interferogramů poměrně jednoduše vypočíst rozložení hustot v tekutině r(x, y, z). V následujícím textu jsou uvedeny vztahy pro výpočet hustot tekutin z indexu lomu, pro výpočet hustot ideálních plynů z indexu lomu a pro výpočet hustot ideálních plynů z interferogramů dvojrozměrných objektů, a to přímo z interferenčního řádu.
Výpočet hustot tekutin
Použijeme-li Lorenzův - Lorentzův zákon (2-13), který je uvedený v kap.2.9, dostaneme pro hustotu tekutin vztah
|
(18-1) |
V tomto vztahu představuje N molekulární refrakci, která je funkcí druhu tekutiny a vlnové délky světla l a M je molární hmotnost tekutiny.
Výpočet hustot ideálních plynů
Použijeme-li Gladstoneův - Daleův zákon (2-14) z kap.2.9, dostaneme pro hustotu ideálních plynů vztah
|
(18-2) |
kde K je Gladstoneova - Daleova konstanta, která závisí na druhu plynu a vlnové délce světla l a lze ji určit z tabulek. Místo Gladstoneovy - Daleovy konstanty můžeme také použít molekulární refrakci N a molární hmotnost plynu M, kde molární hmotnost lze nahradit plynovou konstantou r a univerzální plynovou konstantou R = 8314.3 J.kmol-1.K-1, a to dle vztahu M = R / r.
Výpočet hustot ideálních plynů z interferogramů dvojrozměrných objektů
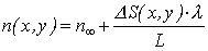
Vyjdeme-li z rovnice ideální interferometrie pro dvojrozměrné objekty (která neuvažuje zakřivení paprsků a okrajové efekty, viz také kap. 17.4)
|
(18-3) |
a dosadíme-li do ní z Gladstoneova - Daleova zákona (2-14) z kap.2.9 či z výše uvedené rovnice (18-2) index lomu v objektu n(x, y) a index lomu v okolním prostředí noo ve tvaru
|
(18-4) |
dostaneme závislost hustoty r(x, y) na změně interferenčního řádu DS(x, y) vůči referenčnímu místu
|
(18-5) |
V tomto vztahu představuje l vlnovou délku světla, L je délka dvojrozměrného objektu a K je Gladstoneova - Daleova konstanta. Např. pro vzduch a vlnovou délku světla l = 632,8 nm je K = 2,2563.10-4 m3.kg-1.
Příklady interferogramů z výzkumu dvojrozměrných polí hustot jsou uvedeny na obr. 18-1. Jedná se o interferogramy polí hustot při proudění plynu ve dvou typech lopatkových mříží tvořených dýzami, při různých režimech proudění [2-15]. Interferogramy byly získané při seřízení interferometru na nekonečnou šířku interferenčních proužků v referenční oblasti, kdy interferenční proužky představují místa konstantní hustoty. Známe-li hustotu plynu v referenčním místě, kde změna interferenčního řádu je nulová (např. na vstupu do dýzy), můžeme po označení interferenčních řádů dalších proužků přiřadit těmto proužkům hustoty, a to dle vztahu (18-5).

Obr. 18-1 Interferogramy polí hustot při proudění plynu lopatkovými mřížemi [2-15]