Ve volném mírně neizotermním proudu jednosložkového plynu, či směsi plynů, která má stejné složení, lze předpokládat, že statický tlak je v celém prostoru konstantní. Interferometrická vizualizace takových proudů a vyhodnocení středních rychlostí je tudíž možné díky nerovnoměrnému rozložení teplot v proudu plynu. V podstatně se jedná o možnost sledování šíření tepelných toků konvekcí v prostoru uvnitř plynu.
Příkladem mírně neizotermního proudu plynu ve volném prostoru může být proud vzduchu ze vzduchotechnické vyústky. Proud lze považovat za mírně neizotermní, jestliže nedochází v důsledku gravitačních sil k jeho zakřivení, což lze hodnotit tzv. Archimédovým číslem. Typický interferogram mírně neizotermního proudu vzduchu z horizontálně situované vyústky kruhového průřezu je uveden na obr. 18-5. Interferometr byl seřízen na konečnou šířku interferenčních proužků v referenční oblasti a v místě proudu jsou proužky vychýlené ze své vertikální polohy, čímž lze definovat tvar proudu.

Obr. 18-5 Interferogram mírně neizotermního vzduchového proudu z kruhové vyústky o průměru 30 mm, wo = 3,2 m.s-1, to = 43,5 °C, too = 21,0 °C, poo = 97840 Pa, - Pavelek, Janotková [6-12]
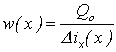
Při teoretickém rozboru problematiky volného mírně neizotermního vzduchového proudu lze konstatovat, že v prostoru se stejným statickým tlakem poo bude tok entalpie ve směru proudění, vztažený k parametrům okolního prostředí konstantní a roven tepelnému příkonu vyústky (tepelnému toku v referenčním řezu) a platí
|
(18-33) |
kde Qo je tepelný příkon vyústky, D Io je změna entalpie v ústí vyústky vzhledem k parametrům okolního prostředí a t je čas. Dále v rovnici značí wo, w(x) střední rychlost proudu v ústí vyústky a ve vzdálenosti x, Ao, A(x) plochu průřezu vyústky a průřezu proudu v místě x, ro, r(x) střední hustotu proudu v ústí vyústky a v místě x, cp střední měrnou tepelnou kapacitu za konstantního tlaku ve sledované oblasti, a To, Too, T(x) střední teplotu proudu v ústí vyústky, v okolním prostředí a v místě x. Rovnici (18-33) lze upravit zavedením střední hodnoty změny objemové hustoty entalpie D iv(x) v místě x a střední hodnoty změny délkové hustoty entalpie D ix(x) v místě x (viz kap. 18.4) a dostaneme
|
(18-34) |
Rozložení střední hodnoty změny délkové hustoty entalpie D ix(x) podél osy proudu z vyústky ve směru x lze efektivně získat z interferometrických záznamů neizotermních vzduchových proudů, viz obr. 18-6. Střední hodnota změny délkové hustoty entalpie D ix(x) se vypočte ze vztahu
|
(18-35) |
který je analogický rovnici (18-32) z kap. 18.4. V rovnici značí l vlnovou délku světla, K Gladstoneovu - Daleovu konstantu a DS(x, y) je změna interferenčního řádu. Změnu délkové hustoty entalpie D ix(x) určíme tak, že v různých příčných řezech x = konst. neizotermního proudu (viz. obr. 18-5) provedeme integrál změny interferenčního řádu ve směru y, a to napříč celého neizotermního proudu, který pak dosadíme do vztahu (18-35).
Po dosazení střední hodnoty změny délkové hustoty entalpie ve směru x D ix(x) do rovnice (18-34) dostaneme rovnici pro výpočet střední rychlosti v proudu ve tvaru
|
(18-36) |
Je zřejmé, že pro výpočet střední rychlosti proudu podél osy x je třeba znát tepelný příkon Qo (referenční tepelný tok), který je považován za konstantní v celém sledovaném proudu. Tuto podmínku lze dodržet u plynů, které energii nevyzařují. Pokud by docházelo ke ztrátám energie do okolí konvekcí či vedením, bylo by to z interferometrické vizualizace zřejmé. Rovněž lze konstatovat, že okraje rychlostního pole jsou shodné s okraji nehomogenního teplotního pole [5-9], a tudíž tam, kde existuje proudění (na okrajích proudu se jedná o turbulentní proudění), tam existuje nehomogenní teplotní pole.
Pokud známe průřez proudu A(x), např. u kruhového proudu určíme průměr z hranic proudu, lze z interferogramů dále vyjádřit střední změnu objemové hustoty entalpie D iv(x) = D ix(x) / A(x), objemový tok Qo / D iv(x), ale také střední teplotu v proudu pomocí rovnice (18-33). Výsledky takových měření lze nalézt také v příloze P20.