Za předpokladu konstantního indexu lomu v transparentním objektu n = konst. lze relativně jednoduše provádět interferometrický výzkum tlouštěk transparentních objektů, a to pomocí interferometrů s jedním pohledem na zkoumaný objekt, viz kap. 13.2 až 13.9. Jedná se obvykle o objekty s relativně velkým indexem lomu n vůči indexu lomu okolního prostředí noo, a proto lze velice přesně interferometricky měřit jen malé změny tloušťky transparentního objektu. Tato metoda měření se používá při výzkumu tlouštěk kapaliny stékající po povrchu, při výzkumu mazání ložisek, při ověřování kvality planparalelních optických prvků, při ověřování kvality průzorů pro interferometrická měření apod.
Na obr. 17-2 je typický transparentní objekt proměnné tloušťky L(x, y) s konstantním indexem lomu n = konst., který bývá obvykle z jedné strany rovinný, což lze u tekutin provést přiložením planparalelní desky (rovinného zrcadla) k měřenému objektu.

Obr. 17-2 Transparentní objekt s konstantním indexem lomu a s proměnnou tloušťkou ve směru šíření světelných paprsků
Po integraci rovnice (17-1) z kap. 17.1 za předpokladu, že n(x, y, z) = konst., dostaneme změnu optické dráhy ve tvaru
|
(17-3) |
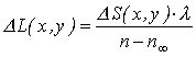
Po zavedení definice změny interferenčního řádu (17-2) z kap. 17.1 můžeme změnu tloušťky transparentního objektu vyjádřit rovnicí
|
(17-4) |
kde l je vlnová délka světla. Je zřejmé, že rovnice (17-4) umožňuje počítat pouze změnu tloušťky objektu, a proto je třeba pro vyjádření absolutní tloušťky transparentního objektu L(x, y) znát v některém jeho místě referenční tloušťku.