Při laminárním proudění ideálních plynů (či směsi plynů mající v daném prostoru stejné složení) podél povrchů, viz obr. 18-7, je možné lokální rychlosti plynů w(x, y, z) v dynamické mezní vrstvě určovat z rychlostí wa(x, y, z) mimo mezní vrstvu či rychlostí v ose kanálu. Jedná se o vyhodnocování rychlostí ve směru kolmém na směr proudnic, kdy statický tlak mezi místem vyhodnocování v mezní vrstvě a vztažným bodem mimo mezní vrstvu je konstantní. V takovém případě dochází ke zbrzdění mezi vrstvami plynu a k izobarickému nárůstu teplot, a proto interferogramy představují též rozložení teplot.

Obr. 18-7 Schéma k výpočtu rychlostí plynů v dynamických mezních vrstvách v místech 1 a 2
Při odvození vztahu pro výpočet rychlostí plynů w v dynamické mezní vrstvě, a to z rozložení teplot, vycházíme z prvního zákona termodynamiky pro adiabatický děj [5-5]
|
(18-41) |
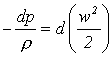
a z pohybové rovnice [5-5]
|
(18-42) |
kde i je měrná entalpie, p je statický tlak, r je hustota, cp je měrná tepelná kapacita za konstantního tlaku a T je teplota. Po dosazení za dp /r z prvního zákona termodynamiky do pohybové rovnice a po integraci mezi místy v dynamické mezní vrstvě (viz hodnoty bez indexu) a v místě mimo mezní vrstvu (viz hodnoty s indexem a) dostaneme
|
(18-43) |
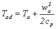
Zbrzdíme-li plyn na nulovou rychlost w, obdržíme teplotu adiabatického zbrzdění
|
(18-44) |
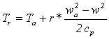
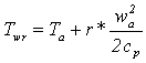
Při obtékání rovinné stěny dostaneme však na povrchu stěny, kde je rychlost nulová, poněkud jinou teplotu Twr, která se nazývá recovery teplota na povrchu a platí
|
(18-45) |
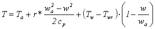
kde r* je tzv. recovery faktor [5-9] (pro laminární proudění podél stěny je r* = (n / a)½, kde n je kinematická viskozita a a je teplotní vodivost). Pro recovery teplotu v mezní vrstvě podél stěny nebo také pro skutečnou teplotu plynu podél adiabatické stěny platí
|
(18-46) |
Pro tepelně vodivou ohřívanou či ochlazovanou rovinnou stěnu, kde dp / dx » 0, teplota povrchu Tw » konst. a (n / a) » 1, jsou teploty v mezní vrstvě dány přibližně vztahem [5-9]
|
(18-47) |
Rozložení teplot v dynamické mezní vrstvě u vyhřívané či ochlazované desky v případě, že nárůst teplot třením je srovnatelný s rozdílem teplot mezi okolím a povrchem, je na obr. 18-8.

Obr. 18-8 Rozložení teplot v dynamické mezní vrstvě (Tw++ a Tw+ jsou teploty povrchu ohřívané stěny, Tw- - a Tw- jsou teploty povrchu ochlazované stěny)
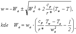
Z rovnice (18-47) lze vyjádřit rychlost jako funkci teplot v mezní vrstvě a dostaneme
|
(18-48) |
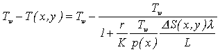
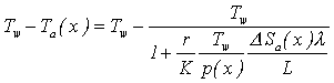
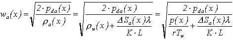
Při vyhodnocování rychlostí plynů z interferogramů dvojrozměrných objektů lze postupovat následovně. Zaměříme se přitom na vyhodnocování rychlostí v dynamických mezních vrstvách na stěnách dvojrozměrného kanálu v souřadném systému x - y, a to za předpokladu relativně malých hodnot přestupu tepla, kdy nárůst teplot třením je srovnatelný s rozdílem teplot mezi okolím a povrchem a s mírně se měnícím statickým tlakem p(x). Rozdíly teplot Tw - T = Tw - T(x,y) a Tw - Ta = Tw - Ta(x) v rovnicích (18-48) lze vyjádřit pomocí rovnice (18-13) z kap. 18.2 a dostaneme
|
(18-49) |
|
(18-50) |
V těchto rovnicích jsou uvažovány změny interferenčního řádu DS(x,y) a DSa(x) relativně k povrchu o teplotě Tw. Dále zde značí l vlnovou délku světla, L délku dvojrozměrného objektu, K Gladstoneovu - Daleovu konstantu a r plynovou konstantu. Rychlost v ose kanálu wa(x) lze pro Machova čísla do 0,3 vyjádřit z hodnot statického tlaku p(x), dynamického tlaku v ose kanálu pda(x), teploty povrchu Tw a změny interferenčního řádu v ose kanálu vůči povrchu DSa(x), jinak je nutné rychlost v ose kanálu wa(x) měřit. Po integraci rovnice (18-42) a vyjádření hustoty v ose kanálu ra(x) dle rovnice (18-5) z kap. 18.1 postupně dostaneme
|
(18-51) |
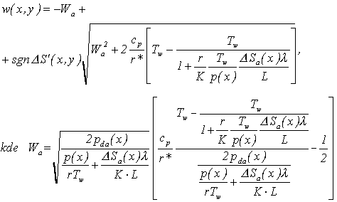
kde pro výpočet rw(x) byla použita stavová rovnice. Po dosazení rovnic (18-49), (18-50) a (18-51) do rovnice (18-48) dostaneme
|
(18-52) |
Pozn.: Při podélném proudění kolem volné rovinné desky je řešení obdobné, jako ve výše uvedeném dvojrozměrném kanále, ale p(x) = poo = konst. a také Ta(x) = Too = konst.
Pozn.: Grafické znázornění rozložení tlaků a teplot při proudění ve dvojrozměrném kanále a příslušné stavové diagramy jsou uvedeny v přiloženém souboru dokument 1.