18.8  VÝPOČET KONCENTRACÍ SLOŽEK VE SMĚSI PLYNŮ

Za konstantní teploty T a tlaku p ve dvousložkové směsi ideálních plynů, které na sebe chemicky nepůsobí, lze z interferogramů získaných pomocí jednovlnové interferometrie vyhodnotit koncentrace složek směsi. S takovými měřeními se lze setkat např. při výzkumu odsávání zdrojů plynných škodlivin, viz příloha P21. V této kapitole jsou uvedeny vztahy pro výpočet koncentrací směsi ve formě molárních či objemových zlomků, a to z indexu lomu ve trojrozměrném objektu a vztahy pro výpočet těchto koncentrací z interferogramů dvojrozměrných objektů - přímo z interferenčního řádu. Dále jsou zde uvedeny vztahy pro přepočet objemových zlomků na hmotnostní zlomky a vztahy pro přepočet objemových zlomků na hustoty jednotlivých složek směsi.

Pozn.:  Pro současné vyhodnocení koncentrací a hustot či teplot ve dvousložkovém plynu je nutná dvouvlnová interferometrie, viz rovnice (13-3) v kap. 13.9 a v kap. 13.13.

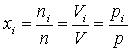
Koncentraci i-té složky ve směsi plynů lze vyjádřit pomocí molárních či objemových zlomků

,

(18-53)

kde ni a n jsou látková množství i-té složky a směsi, Vi a V jsou objemy i-té složky a směsi a pi a p jsou tlaky i-té složky a směsi [5-5]. Platí

.

(18-54)

Molekulární refrakce směsi plynů N je pak dána složením směsi a molekulárními refrakcemi Ni jednotlivých složek směsi a platí [3-12]

.

(18-55)

Výpočet objemových zlomků směsi plynů z indexu lomu

Při odvození vztahů pro výpočet koncentrací xi(x, y, z) dvousložkové směsi ideálních plynů z indexu lomu n(x, y, z), si nejdříve vyjádříme z Gladstoneova - Daleova zákona (2-14) z kap.2.9 molekulární refrakci N(x, y, z) a dostaneme

,

(18-56)

kde M(x, y, z) je molární hmotnost směsi a r(x, y, z) je hustota směsi. Po aplikaci stavové rovnice pro ideální plyny r = p / rT a rovnice M . r = R dostaneme

 

(18-57)

kde r(x, y, z) je plynová konstanta směsi a R je univerzální plynová konstanta. Dosazením rovnic (18-57) a (18-54) do rovnice (18-55) dostaneme pro dvousložkovou směs

 

(18-58)

Pro koncentrace x1(x, y, z) a x2(x, y, z) jako funkce indexu lomu n(x, y, z) platí

,

(18-59)

.

(18-60)

Známe-li však koncentraci první složky x1(x,y,z), lze koncentraci druhé složky x2(x,y,z) vyjádřit také jednodušeji, a to pomocí vztahu x2(x,y,z) = 1 – x1(x,y,z).

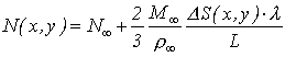
Výpočet objemových zlomků směsi plynů z interferogramů dvojrozměrných objektů

V případě dvojrozměrných objektů o délce L lze vyjádřit koncentrace xi(x, y) ve dvousložkové směsi ideálních plynů přímo z rozložení změn interferenčního řádu DS(x, y). Při odvození vztahů pro výpočet koncentrací xi(x, y) vyjdeme z rovnice ideální interferometrie pro dvojrozměrné objekty (17-6) v kap. 17.4, která neuvažuje zakřivení paprsků a okrajové efekty. Z Gladstone – Daleova zákona (2-14) v kap.2.9, nebo také z rovnice (18-56) určíme indexy lomu n(x, y) a noo a po jejich dosazení do rovnice (17-6) dostaneme

,

(18-61)

kde N(x, y) a Noo jsou molekulární refrakce směsi v místě x, y a v referenčním místě, M(x, y) a Moo jsou molární hmotnosti směsi v místě x, y a v referenčním místě, r(x, y) a roo jsou hustoty směsi v místě x, y a v referenčním místě a l je vlnová délka světla. Jelikož z Avogadrova zákona platí, že M / r = konst. [5-5], lze rovnici (18-61) upravit do tvaru

.

(18-62)

Zavedením stavové rovnice pro ideální plyny r = p / rT a rovnice definující plynovou konstantu r = R / M , dostaneme

.

(18-63)

Dosadíme-li do rovnice (18-63) za N(x, y) a Noo z rovnice (18-55), dostaneme vztah

.

(18-64)

Jelikož x1(x, y) + x2(x, y) = 1, lze z rovnice (18-64) vyjádřit koncentrace x1(x, y) a x2(x, y) a můžeme psát výsledné rovnice pro výpočet koncentrací dvousložkové směsi z interferogramů dvojrozměrných transparentních objektů ve tvaru

,

(18-65)

.

(18-66)

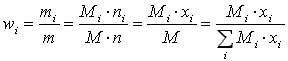
Přepočet objemových zlomků na hmotnostní zlomky

Kromě molárních či objemových zlomků xi lze složení směsi definovat také pomocí hmotnostních zlomků wi. Při přepočtu objemových zlomků na hmotnostní vycházíme z definice hmotnostního zlomku a postupně dostaneme

,

(18-67)

kde mi a m jsou hmotnosti i-té složky a směsi, Mi a M jsou molární hmotnosti i-té složky a směsi, ni a n jsou látková množství i-té složky a směsi. Molární hmotnost směsi M lze odvodit z rovnice zachování hmoty n . M = n1 . M1 + n2 . M2 + . . .

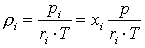
Přepočet objemových zlomků na hustoty jednotlivých složek směsi

Z objemových zlomků xi lze rovněž vypočíst hustoty jednotlivých složek ri ve směsi plynů. Zavedeme-li do stavové rovnice pro i-tou složku ve směsi definici objemového zlomku (18-53), postupně dostaneme

,

(18-68)

kde pi a p jsou tlaky i-té složky a směsi, ri je plynová konstanta i-té složky a T je teplota směsi v daném místě.