Interferometrický výzkum přestupu tepla při laminárním proudění lze velice efektivně provádět také z tlouštěk tepelných mezních vrstev. Tento přístup je možné zvolit při práci s jednosložkovou tekutinou či směsí, která má v celém prostoru stejné složení a konstantní tlak. Nejčastěji se tato metoda používá u dvojrozměrných objektů, ale je možné ji použít i u některých rotačně symetrických objektů (na čelech rotujících disků apod.). Přesnost výpočtu přestupu tepla z tlouštěk tepelných mezních vrstev je sice nepatrně menší, než přesnost výpočtu přestupu tepla přímo z derivací teplot (kap. 18.10), ale z interferogramů lze přesto určovat hranice mezních vrstev obvykle přesněji, než např. ze stínogramů (kap. 11.4) či ze záznamů pořízených clonkovou metodou (kap. 12.3). U interferometrických měření jsme totiž schopni určit exaktněji místo, kde změna interferenčního řádu dosahuje libovolnou smluvní hodnotu definující hranici mezní vrstvy.
Hranice tepelné mezní vrstvy nemusí být stanovena v místě, kde je dosaženo teploty okolí a derivace teploty dle souřadnice kolmé k povrchu je nulová. Toto místo se většinou stanovuje velmi špatně a mnohá teoretická řešení tvarů mezních vrstev uvažují dokonce nekonečně velkou tloušťku mezní vrstvy. Přesnější je stanovení hranice tepelné mezní vrstvy v místě, kde teplota dosáhla jisté procentuální hodnoty z celkového rozdílu teplot mezi povrchem a okolím, a to lze velice přesně stanovit z interferogramů, viz obr. 18-12, i když dojde k zániku interferenčních proužků u povrchu. Je totiž zřejmé, že lze přesně stanovit procentuální změnu teploty (interferenčního řádu) z celkové změny teploty v mezní vrstvě za předpokladu známé teplotní diference mezi povrchem a okolím. Pro přesné určení hranice mezní vrstvy je třeba seřídit interferometr na optimální konečnou šířku proužků v referenční oblasti, nejlépe kolmou na vyšetřovaný povrch. Výpočet přestupu tepla z tlouštěk tepelných mezních vrstev tak posouvá hranice použitelnosti interferometrie pro výzkum v oblasti s většími teplotními diferencemi a gradienty, kdy dochází i k zániku interferenčních proužků u povrchů, a to v důsledku malé rozlišovací schopnosti záznamu či v důsledku parazitních optických jevů u povrchu.

Obr. 18-12 Interaktivní určování hranice tepelné mezní vrstvy v okolí podélně obtékané vyhřívané desky pomocí software Interfer-Visual - Pavelek, Janotková [6-12]
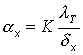
Vztah mezi tloušťkou tepelné mezní vrstvy a součinitelem přestupu tepla byl odvozen již v kap. 11.4, viz rovnice (11-24). Pro lokální hodnotu součinitele přestupu tepla ax v závislosti na lokální tloušťce tepelné mezní vrstvy dx platí
|
(18-91) |
kde lT je tepelná vodivost tekutiny při lokální teplotě povrchu Twx a konstanta K je závislá na typu náhradní funkce popisující teplotní profil při obtékání teplosměnných povrchů.
Funkce nahrazující teplotní profil musí mít především stejnou derivaci teploty u povrchu dle souřadnice kolmé k povrchu, aby vyjadřovaly stejnou hodnotu součinitele přestupu tepla. Při dodržení této podmínky dostaneme obvykle náhradní teplotní profily s různou tloušťkou tepelné mezní vrstvy. V kap. 11.4 se uvádí, že při náhradě teplotního profilu polynomem třetího stupně, je vhodné stanovovat tloušťku tepelné mezní vrstvy tam, kde se teplota liší od okolní teploty tekutiny o 6,2 % a K = 1,5 a při náhradě teplotního profilu polynomem druhého stupně, je vhodné stanovovat tloušťku tepelné mezní vrstvy tam, kde se teplota v mezní vrstvě liší od teploty okolní tekutiny o 2 % a K = 2. Tyto procentuální hodnoty vycházejí z porovnání tvarů náhradních teplotních profilů s teoretickým řešením teplotního profilu při přirozené konvekci okolo vertikální desky dle Pohlhausena [5-9], viz obr. 18-13.

Obr. 18-13 Porovnání tvarů teplotních profilů
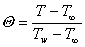
V obr. 18-13 jsou porovnány náhradní teplotní profily ve tvaru polynomů třetího stupně, druhého stupně a také prvního stupně, a to s teplotním profilem dle Pohlhausena. Porovnání je provedeno v bezrozměrných souřadnicích q = f(x), kde bezrozměrná teplota je definována vztahem
|
(18-92) |
a bezrozměrná souřadnice kolmá k povrchu vztahem
|
(18-93) |
V uvedených rovnicích označuje Tw teplotu povrchu, Too je teplota okolí, g je tíhové zrychlení, n je kinematická viskozita, x je vzdálenost podél desky a y je souřadnice kolmá k povrchu. Z Pohlhausenova řešení platí, že derivace bezrozměrné teploty dle bezrozměrné souřadnice u povrchu má pro vzduch hodnotu 0,508, a proto můžeme psát
|
(18-94) |
Z rovnice (18-94) je zřejmé, že pro zachování derivace teploty u povrchu lze volit konstantu K pro výpočet součinitele přestupu tepla (18-91) velice různě, ale tomu je třeba přizpůsobit definici tloušťky tepelné mezní vrstvy, viz tabulka 18-1. Při laminární nucené konvekci je možné používat obdobné vztahy, jelikož i zde se nahrazují teplotní profily často pomocí polynomů druhého či třetího stupně. Lokální hustotu tepelného toku při přestupu tepla je pak možné stanovit ze vztahu (18-75), který je uveden v kap. 18.10.
Určování lokálních parametrů přestupu tepla z tlouštěk tepelných mezních vrstev je velmi efektivní a u interferometrických měření i relativně přesné. Používá se především tehdy, jestliže dochází k zániku interferenčních proužků u povrchu, ale také v jiných případech. Příklady interferometrických výzkumů přestupu tepla z tlouštěk tepelných mezních vrstev jsou uvedeny v přílohách P13 a P16.
Tab. 18-1 Náhradní teplotní profily pro laminární přirozenou konvekci ve vzduchu
|
Stupeň polynomu
|
Konstanta K
|
Souřadnice x
|
Definice místa tloušťky
|
|
První |
1 |
1,968 |
20 % z (Tw - Too ) |
|
Druhý |
2 |
3,973 |
2 % z (Tw - Too ) |
|
Třetí |
1,5 |
2,953 |
6,2 % z (Tw - Too ) |