Podmínkou současného vyhodnocení rozložení teplot T(x, y, z) a statických tlaků p(x, y, z) z rozložení indexu lomu n(x, y, z), a to v jednosložkovém ideálním plynu, či ve směsi ideálních plynů mající v daném prostoru stejné složení, je znalost termodynamického děje mezi sledovanými body v prostoru. V této kapitole jsou uvedeny vztahy pro současný výpočet teplot a tlaků v ideálních plynech z indexu lomu při polytropickém ději v obecně trojrozměrném prostoru (objektu) a vztahy pro současný výpočet teplot a tlaků v ideálních plynech pro polytropický děj ve dvojrozměrném prostoru (objektu), a to přímo z interferenčního řádu.
Výpočet teplot a tlaků v trojrozměrném objektu
Pro výpočet teplot T(x, y, z) a tlaků p(x, y, z) z indexu lomu n(x, y, z) v ideálních plynech při polytropickém ději je třeba vyjít z rovnic polytropy
|
(18-14) |
|
(18-15) |
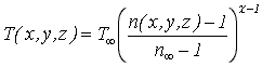
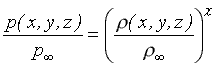
kde c je exponent polytropy, r(x, y, z) je hustota plynu v prostoru a index oo označuje referenční hodnoty. Pro vyjádření hustoty r(x, y, z) a roo použijeme Gladstoneův - Daleův zákon (2-14) z kap.2.9, nebo lépe upravený vztah (18-2) z kap. 18.1. Dosazením takto vyjádřených hustot do rovnice (18-14) a (18-15) dostaneme pro rozložení teplot T(x, y, z) a statických tlaků p(x, y, z) v závislosti na rozložení indexu lomu n(x, y, z) vztahy
|
(18-16) |
|
(18-17) |
Výpočet teplot a tlaků ve dvojrozměrném objektu
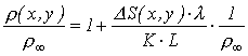
Postup odvození rovnic pro výpočet teplot T(x, y) a statických tlaků p(x, y) ideálních plynů z interferogramů dvojrozměrných objektů je podobný postupu odvození vztahů pro výpočet hustot ideálních plynů z interferogramů dvojrozměrných objektů, viz kap. 18.1. Vyjdeme z rovnice ideální interferometrie (18-3), která neuvažuje zakřivení paprsků a okrajové efekty. Do rovnice ideální interferometrie dosadíme z Gladstoneova – Daleova zákona index lomu v objektu n(x, y) a index lomu v referenčním místě noo (18-4) a dostaneme závislost hustoty r(x, y) na změně interferenčního řádu DS(x, y) vůči referenčnímu místu (18-5). Podělíme-li rovnici (18-5) z kap. 18.1 hustotou roo, dostaneme
|
(18-18) |
kde l je vlnová délka světla, L je délka dvojrozměrného objektu a K je Gladstoneova - Daleova konstanta. Hustotu roo na pravé straně rovnice (18-18) vyjádříme ze stavové rovnice ideálního plynu a dostaneme
|
(18-19) |
Po dosazení rovnice (18-19) do rovnic (18-14) a (18-15) pro dvojrozměrné objekty bude
|
(18-20) |
|
(18-21) |
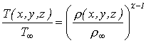
Výpočet rozložení teplot T(x, y) a statických tlaků p(x, y) ideálních plynů z interferogramů dvojrozměrných objektů lze provádět dle vztahů (18-20) a (18-21), kde DS(x, y) je změna interferenčního řádu vůči referenčnímu místu, Too je teplota plynu v referenčním místě, poo je tlak plynu v referenčním místě, l je vlnová délka světla, L je délka dvojrozměrného objektu, K je Gladstoneova - Daleova konstanta a r je plynová konstanta. Hodnoty K a r pro různé plyny lze najít v tabulkách a pro suchý vzduch jsou také uvedeny v kap. 2.9. Je zřejmé, že rovnice (18-20) bude pro izobarický děj (c = 0) shodná s rovnicí (18-13) z kap. 18.2.
Příklad interferogramu dvojrozměrného transparentního objektu, ze kterého je možné stanovit současně rozložení teplot a tlaků, je uveden na obr. 18-3. Jedná se o interferogram proudění plynu Lavalovou dýzou při nevýpočtovém režimu, kdy za nejužším místem dýzy (označeno šipkami) dochází ke vzniku rázové vlny. Známe-li teplotu a tlak plynu v referenčním místě na vstupu do dýzy (v místě světlého proužku v levé části obrazu), lze v tomto místě označit změnu interferenčního řádu DS = 0. Další světlé interferenční proužky ve směru proudnic (ve směru proudění zleva do prava) můžeme postupně označit interferenčními řády DS = -1, -2, -3 ..., pro které lze dle vztahů (18-20) a (18-21) vypočíst teploty a tlaky. V rázové vlně dochází však k náhlé změně teploty a tlaku a tudíž i k náhlé změně hustoty a indexu lomu. Pro označení interferenčních řádů vpravo od rázové vlny je proto třeba zvolit další referenční místo, ve kterém musíme měřit teplotu a statický tlak.

Obr. 18-3 Interferogram proudění plynu Lavalovou dýzou při nevýpočtovém režimu [2-15]