Při proudění ideálních plynů (či směsi ideálních plynů mající v daném prostoru stejné složení) v tlakovém poli, viz obr. 18-6, je možné lokální rychlosti plynů w(x, y, z) ve vyhodnocovaném místě určovat z rychlostí v referenčním místě woo (x, y, z) na stejné proudnici. Předpokladem je adiabatické či polytropické proudění mezi těmito místy. Typickým příkladem takového proudění je proudění v potrubí různého průřezu či v dýze. V této kapitole jsou uvedeny vztahy pro výpočet rychlostí plynů z indexu lomu při adiabatickém proudění v obecně trojrozměrném prostoru (objektu) a vztahy pro výpočet rychlostí plynů při adiabatickém proudění ve dvojrozměrném prostoru (objektu), a to přímo z interferenčního řádu.

Obr. 18-6 Schéma k výpočtu rychlostí plynů ve směru proudnic
Výpočet rychlostí plynů ve trojrozměrném objektu
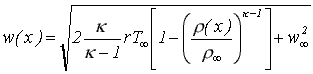
Rychlost plynu při adiabatickém proudění můžeme odvodit ze vztahů uvedených např. v lit. [5-5]. Platí
|
(18-37) |
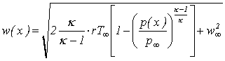
kde woo, w(x) jsou rychlosti plynu na proudnici v referenčním místě a v místě x, poo, p(x) jsou statické tlaky na proudnici v referenčním místě a v místě x, Too je teplota plynu na proudnici v referenčním místě, r je plynová konstanta a k je Poissonova konstanta pro adiabatické proudění (nebo exponent polytropy u polytropického proudění). Vyjádříme-li poměr tlaků v rovnici (18-37) poměrem hustot dle vztahu (18-15) z kap. 18.3, dostaneme
|
(18-38) |
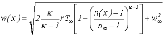
kde roo, r(x) jsou hustoty plynu na proudnici v referenčním místě a v místě x. Hustoty plynu v rovnici (18-38) lze nahradit indexy lomu z Gladstoneovy - Daleovy rovnice (2-14) z kap. 2.9, nebo z rovnice (18-2) z kap. 18.1 a dostaneme závislost rychlosti plynu na indexu lomu ve tvaru
|
(18-39) |
Výpočet rychlostí plynů ve dvojrozměrném objektu
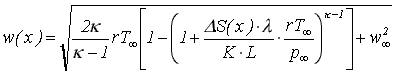
Poměr hustot v rovnici (18-38) lze ve dvojrozměrných objektech vyjádřit pomocí interferenčního řádu, viz rovnice (18-19) v kap. 18.3, a dostaneme vztah
|
(18-40) |
kde DS(x) je změna interferenčního řádu na proudnici mezi referenčním místem a místem x, l je vlnová délka světla, L je délka dvojrozměrného objektu a K je Gladstoneova - Daleova konstanta. Uvedený výpočet rychlostí lze aplikovat např. na interferogram proudění plynu v Lavalově dýze (viz obr. 18-3 v kap. 18.3), na interferogramy proudění v lopatkových mřížích (viz obr. 18-1 v kap. 18.1) apod.
Pozn.: Oba výše uvedené postupy výpočtu rychlostí předpokládají znalost proudnic v proudovém poli. V mnohých aplikacích lze tvar proudnic určit ze zkušeností, numerický postup konstrukce proudnic z interferogramů je uveden např. v lit. [3-11].