18.9  VÝPOČET TEPLOT A KONCENTRACÍ SLOŽEK VE SMĚSI PLYNŮ

Za konstantního celkového tlaku p ve dvousložkové směsi ideálních plynů, které na sebe chemicky nepůsobí, lze z interferogramů získaných pomocí dvouvlnové interferometrie (viz kap. 13.9 a kap. 13.13) získat současně rozložení teplot a koncentrací složek směsi plynů ve formě molárních či objemových zlomků [3-12]. Takovým příkladem může být zavádění plynu do prostředí odpařováním, sublimací nebo i hořením. V této kapitole budou odvozeny vzorce pro výpočet teploty a koncentrací pouze ve dvojrozměrném objektu, a to přímo z interferenčních řádů získaných ze dvou interferogramů pořízených zdroji s vlnovými délkami li, kde index i nabývá hodnot 1 a 2. Problematika vyhodnocování trojrozměrných objektů není aktuální, jelikož současné vyjádření teplot a koncentrací pomocí dvouvlnové interferometrie vyžaduje velice precizní experimenty s následnými korekcemi na okrajové efekty a zakřivení trajektorií světelných paprsků (viz kap. 13.1 a kap. 13.15), což u trojrozměrných, ale také rotačně symetrických objektů je značně náročné.

Abychom zjednodušili zápis rovnic, zavedeme označení pro změnu interferenčního řádu vůči referenčnímu stavu DS(x, y)i = Si, pro index lomu n(x, y)i = ni, pro rozložení molekulární refrakce složky a N(x, y)ai = Nai, pro rozložení molekulární refrakce složky b N(x, y)bi = Nbi, pro rozložení objemových zlomů složky a xa(x, y) = xa, pro rozložení objemových zlomů složky b xb(x, y) = xb a pro rozložení teplot T(x, y) = T. Z Gladstoneova – Daleova zákona (2-14) v kap.2.9 si můžeme vyjádřit molekulární refrakci Ni a dostaneme

,

(18-69)

kde R je univerzální plynová konstanta. Zavedeme-li do rovnice ideální interferometrie pro dvojrozměrné objekty (17-6) z kap. 17.4, místo indexů lomu molekulární refrakce (18-69), dostaneme rovnici ideální interferometrie pro směsi

,

(18-70)

kde L je délka dvojrozměrného objektu a index oo se vztahuje k veličinám okolního prostředí. Pro molekulární refrakce směsi platí vztah (18-55) z kap. 18.8. Obsahuje-li však směs pouze složku a a složku b, platí xa = 1 – xb a rovnici (18-70) můžeme přepsat do tvaru

.

(18-71)

Další odvození je provedeno za předpokladu, že v okolním prostředí je objemový zlomek zaváděného plynu xboo = 0. Tento předpoklad je možné uvažovat i v případě nenulové koncentrace zaváděného plynu v okolním prostředí, ale pak je třeba chápat referenční stav okolního prostředí včetně obsahu zaváděného plynu, což má vliv na referenční index lomu a referenční molekulární refrakci. Rovnici (18-71) můžeme nyní upravit do tvaru

.

(18-72)

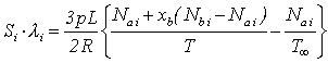
Je zřejmé, že rovnici (18-72) lze zapsat zvlášť pro i = 1 a i = 2 (pro interferogram zaznamenaný vlnovými délkami l1 a l2) a pak máme k dispozici dvě rovnice pro dvě neznámé, kterými jsou rozložení teplot a rozložení objemových zlomků v nehomogenní směsi. Řešením těchto rovnic dostaneme vztah pro rozložení teplot

(18-73)

a vztah pro rozložení objemových zlomků zaváděného plynu

.

(18-74)

Pomocí vztahu (18-67), který je v kap. 18.8, je možné objemové zlomky přepočíst snadno na hmotnostní zlomky. Také je reálné převést objemové zlomky vyhodnocené ze vztahu (18-74), a to pomocí rovnice (18-68) z kap. 18.8 na lokální hustotu zaváděného plynu, ale do rovnice (18-68) je třeba dosazovat vždy konkrétní teplotu určenou z rovnice (18-73).