Pro výpočet lokálního přestupu tepla mezi povrchem a tekutinou ze zaznamenaných interferogramů můžeme také použít lokální derivaci indexu lomu (dn/dy)wx v tekutině u povrchu, a to ve směru y kolmém k povrchu, viz obr. 18-10. Obdobný postup byl již použit pro výpočet přestupu tepla ze stínogramů (kap. 11.4) a ze záznamů získaných clonkovou metodou (kap. 12.3), ale u interferometrických měření je možné dosáhnout vyšší přesnosti, jelikož se derivace indexu lomu stanovuje z vyhodnoceného profilu indexu lomu. Výpočet přestupu tepla z derivace indexu lomu lze aplikovat za předpokladu konstantního tlaku p v jednosložkové tekutině, či ve směsi, která má v celém prostoru stejné složení. Z lokální derivace indexu lomu se pak vypočte lokální derivace teploty (dT/dy)wx, z ní dle vztahu (18-77) z kap. 18.10 lokální součinitel přestupu tepla ax. Po dosazení tohoto součinitele do rovnice (18-75) z kap. 18.10 lze vypočíst také lokální hustotu tepelného toku qx.

Obr. 18-10 Profil indexu lomu v tepelné mezní vrstvě při laminárním obtékání povrchu s teplotou vyšší, než je teplota okolní tekutiny
Stejně jako v kap. 11.4 si lze lokální derivaci teploty (dT/dy)wx na povrchu vyjádřit pomocí lokální derivace indexu lomu (dn/dy)wx na povrchu dle vztahu
|
(18-81) |
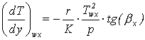
Lokální derivaci (dT/dn)wx můžeme pro ideální plyny získat po derivování Gladstoneovy – Daleovy rovnice (2-14) z kap. 2.9, a to při lokální teplotě povrchu a dostaneme
|
(18-82) |
Ve vztahu (18-82) je K Gladstoneova – Daleova konstanta, r je plynová konstanta, Twx je teplota povrchu v místě x a p je statický tlak. Pro jiné tekutiny lze použít derivaci Lorenzova – Lorentzova vztahu (2-13) z kap. 2.9. V případě suchého vzduchu můžeme vyjádřit derivaci (dT/dn)wx také z rovnice (2-16) a pro vodu z rovnice (2-19), viz kap. 2.9.
Lokální derivaci indexu lomu (dn/dy)wx u povrchu je možné stanovit z funkce popisující rozložení indexu lomu u povrchu, či z vykresleného profilu indexu lomu, a to pomocí úhlu bx, který svírá tečna k profilu indexu lomu v místě povrchu s osou y, viz obr. 18-10. Pro lokální derivaci indexu lomu u povrchu (dn/dy)wx ve směru kolmém k povrchu platí
|
(18-83) |
Uvedený postup lze aplikovat pro výpočet přestupu tepla z interferometrických měření, kdy máme vyhodnoceno rozložení indexu lomu. Po dosazení vztahů (18-82) a (18-83) do rovnice (18-81) dostaneme pro plyny lokální derivaci teploty dle souřadnice y v místě povrchu ve tvaru
|
(18-84) |
Po dosazení této derivace teploty do rovnice (18-77) z kap. 18.10 obdržíme výsledný vztah pro výpočet lokální hodnoty součinitele přestupu tepla
|
(18-85) |
kde lT je součinitel tepelné vodivosti prostředí u povrchu určený při teplotě povrchu Twx v místě x a Too je teplota okolního prostředí. Lokální hustotu tepelného toku při přestupu tepla můžeme pak stanovit ze vztahu (18-75), který je v kap. 18.10.